MATHEMATICS T


ANALYTIC GEOMETRY

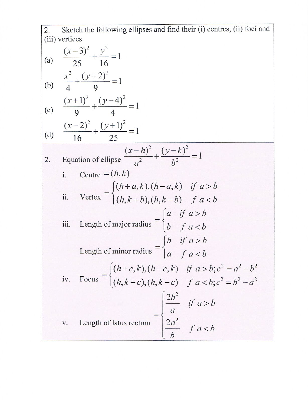
CHECKPOINT 5.1

"Right clip" then "Open link in new tab": ENABLE YOU TO GET ENLARGED IMAGE




CHECKPOINT 5.2

"Right clip" then "Open link in new tab": ENABLE YOU TO GET ENLARGED IMAGE




CHECKPOINT 5.3

"Right clip" then "Open link in new tab": ENABLE YOU TO GET ENLARGED IMAGE




CHECKPOINT 5.4

"Right clip" then "Open link in new tab": ENABLE YOU TO GET ENLARGED IMAGE




CHECKPOINT 5.5

"Right clip" then "Open link in new tab": ENABLE YOU TO GET ENLARGED IMAGE




CHECKPOINT 5.6

"Right clip" then "Open link in new tab": ENABLE YOU TO GET ENLARGED IMAGE




CHECKPOINT 5.7

"Right clip" then "Open link in new tab": ENABLE YOU TO GET ENLARGED IMAGE




CHECKPOINT 5.8

"Right clip" then "Open link in new tab": ENABLE YOU TO GET ENLARGED IMAGE




FOCUS ON EXAM

Solutions of FOCUS ON EXAM is available at the website of the Publisher: cw.oxfordfajar.com.my

BEST WISHES